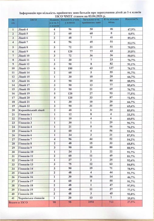
Кількість прийнятих заяв про зарахування до 1-х класів закладів загальної середньої освіти Чернівецької міської територіальної громади станом на 03.04.2026 р.
Кількість прийнятих заяв про зарахування до 1-х класів закладів загальної середньої освіти Чернівецької міської територіальної громади станом на 03.04.2026 р.